剑桥大学研发基于软体机器人锥形液晶弹性体LCE材料 可承受数千倍自身重量
近日,剑桥大学的工程师研发了一种锥形液晶弹性体LCE材料,这种材料可承载上千倍自身重量,未来将有望应用到软体机器人的开发当中。但研发人员表示,虽然强度高,但该结构并不稳定。在压缩时,椎体会造成外边界层变形,进而引发屈曲现象。所以相关研究还在进一步完善与探索当中。
在软体机器人技术中,组件被设计为可变形、可压扁和柔性的,常用的软体元件和执行器(将能量转化为机械力的设备)作为执行机械任务的构建模块。
data-backh="217" data-backw="500" data-imgfileid="502854605" data-ratio="0.434" data-type="png" data-w="500" height="217.0" width="500.0099792480469">支持负载的热激活 LCE 锥体阵列1100×他们自己的重量
由剑桥大学领导的新研究首次计算了锥形液晶弹性体 (LCE) 壳的强度。LCE 是一种轻质变形材料,适用于软体机器人。
data-backh="474" data-backw="553" data-imgfileid="502854603" data-ratio="0.8574074074074074" data-type="jpeg" data-w="1080" height="473.9399719238281" width="552.9400024414062">
同心脊式变形结构的轮廓草图
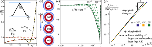
剑桥大学工程系和科罗拉多大学的研究人员将理论、数值和实验相结合,研究了这些变形 LCE 薄膜的提升、加载和屈曲,这些薄膜可以提升自身重量数千倍的重量。他们的发现发表在《物理评论快报》杂志上,并在《物理杂志》上附有概要。
软机器人中使用的软元件通常由软材料薄片构成,因此它们的机械动作可以基于材料的纯粹弯曲或拉伸。前者较弱,后者却很坚固,例如扁平的LCE材质变形为圆锥体并在此过程中举起巨大的重量。
data-backh="364" data-backw="500" data-imgfileid="502854604" data-ratio="0.728" data-type="png" data-w="500" height="364.0099792480469" width="500.010009765625">
在形态壳中准静态压缩的 LCE 锥体的垂直力与高度比
剑桥大学工程系的学生、该研究的合著者丹尼尔·达菲博士说:“我们的工作是第一个计算和了解薄壁锥体的强度的工作。这对于研发人员来说当然很重要,可以利用形状变形锥体作为软体机器人强大的执行器。”
但丹尼尔·达菲博士也表示了担忧:“我们的研究结果暴露了这些薄锥体强度的弱点,当压缩时,这些薄锥体主要在外边界层变形,这会在比之前预测的载荷小得多。这种载荷下会引发屈曲现象。”
data-backh="157" data-backw="500" data-imgfileid="502854602" data-ratio="0.314" data-type="png" data-w="500" height="157.0" width="500.010009765625">
圆锥体屈曲前不久的应力分布
丹尼尔·达菲博士补充说道:“广泛的来看,我们的研究揭示了一些关键的基本原理,同时我们希望这些原理能够推广到锥体之外。我们发现,自由的无夹边缘会以一种令人惊讶的方式大大削弱薄结构,这会影响变形锥体以外的许多机制,包括与软机器人无关的结构。”
参考文献:
https://journals.aps.org/prl/abstract/10.1103/PhysRevLett.131.148202
-----------------END-------------------





